Best Time for Protein Intake


Drinking a protein shake after a workout.

Protein is essential for the rebuilding of muscle after exercise. Our muscles are made of polypeptides, a long repeating chain of amino acids. During weight lifting, we create micro-tears in our bodies– but that’s a sign of progress! Repairing those micro-tears actually makes the muscles stronger and increases muscle mass. Ingesting a source of protein is essential for the body to have enough building block amino acids to repair and strengthen muscle after exercise. This is why you’ll find many gym-goers drinking and making protein shakes. However, what’s the best time to intake protein to maximize its effect? Before or after a workout? During one?

“Anabolic Window”:

Among athletes, there is a common belief in a so-called “Anabolic Window” as the best time to intake protein. It is typically considered to be 30 to 60 minutes after exercise. Because glycogen stores are low and the muscles are damaged after exercise, it is said that protein intake during this period will stimulate muscle repair and maximize workout gains. The protein intake should initiate protein synthesis because it provides the body with the necessary building blocks to start repair immediately. 

Research:

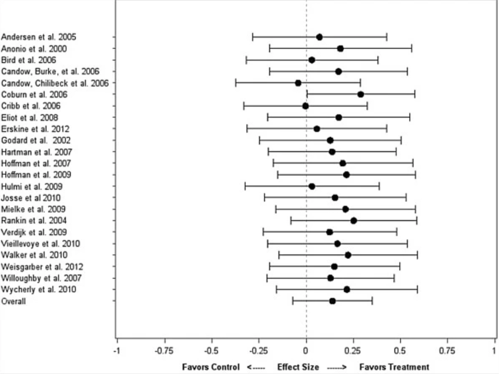
The impact of protein timing on hypertrophy by the study when adjusted for total protein intake shows more equal results among participants. SEM bars overlap so there is no statistically significant difference between participant results

The Journal of the International Society of Sports Nutrition published a research project designed to test the most popular protein intake strategy. Using the data of about 1000 participants, they measured the participants’ strength and muscle hypertrophy to measure the effect of specifically timed protein intake and nonspecific. Around half of the participants were tested in the strength increase category, and the other half were tested for muscle hypertrophy (an increase in muscle size as a result of strength training). The study utilized control and experimental groups, finding that there weren’t statistically significant differences in strength increase or muscle hypertrophy/growth between the groups. 

Result:

Nutrient timing can be important in some cases such as replenishing glycogen stores after exercise consuming carbs, or carb loading the night before a race. Contrary to these cases, the benefits of specific timing for protein consumption aren’t scientifically proven. To maximize muscle hypertrophy and increase strength, it is more important to have adequate daily consumption rather than focusing on specific protein intake times. Fueling after or before a workout can still be beneficial, but it is more important to have enough protein throughout the day than to focus on an anabolic window. The study described above concludes that total protein intake throughout the day was the strongest predictor of muscle hypertrophy. 

Conclusion:

Although nutrition timing is important, it is more important to not neglect total nutrition intake in a day, especially in regards to protein. Scientific studies do not support the idea of there being an “anabolic window,” so it is advised to focus on getting enough protein for the whole day. 

Sources:

Lee M. Margolis. “Coingestion of Carbohydrate and Protein on Muscle Glycogen Synthesis after Exercise: A Meta-Analysis - PMC.” PMC Home Page, https://pmc.ncbi.nlm.nih.gov/articles/PMC7803445/. Accessed 15 Dec. 2024.

Katz, Sarah. “Fact or Fiction: The Anabolic Window.” Byrdine F. Lewis College of Nursing and Health Professions, 13 Oct. 2021, lewis.gsu.edu/2021/10/13/fact-or-fiction-the-anabolic-window/. ‌

Schoenfeld, Brad. “The Effect of Protein Timing on Muscle Strength and Hypertrophy: A Meta-Analysis - Journal of the International Society of Sports Nutrition.” BioMed Central, 3 Dec. 2013, https://jissn.biomedcentral.com/articles/10.1186/1550-2783-10-53.

“5 Facts About Protein and Post Workout Recovery.” Clifbar, https://www.clifbar.com/stories/5-facts-about-protein-recovery-after-workout. Accessed 15 Dec. 2024.

Previous
Previous

The Glycemic Index

Next
Next

Why Do Athletes Eat Bananas?